
Como decíamos en la entrada anterior, Cantor innova la manera de “contar” o medir el “tamaño” de un conjunto, inaugurando el “orden” como una fantástica y eficaz herramienta.
Cuando un conjunto es finito y posee un reducido número de elementos, conocer su tamaño es bien sencillo, basta contar los elementos que posee, así, por ejemplo, el conjunto V= {a,e,i,o,u} posee cinco elementos y decimos que su “cardinal” es 5, escribimos: card(V)=5.
Cuando el conjunto es finito pero posee ya un elevado número de elementos, la cuestión se vuelve más tediosa, pongamos otro ejemplo:
Imaginemos que nos encontramos en una (tan desgraciadamente de moda) “Macrofiesta” que reúne a miles de personas, y deseamos saber si hay más chicos que chicas o al contrario. Pues aunque fuese tedioso y llevase tiempo, una primera manera de hacerlo, sería “contar” uno a uno los asistentes a dicha fiesta, pero Cantor hubiera utilizado esta otra manera, a ver qué os parece:
Cantor propondría que se formaran todas las parejas posibles chico/chica; al final del emparejamiento pudiera ocurrir que, o bien quedan chicas sin pareja, en este caso, habría más chicas que chicos, o chicos sin pareja, lo contrario o, de manera excepcional, hubiese el mismo número de chicos que de chicas después del emparejamiento “uno a uno”, “chico/chica”, es decir, no quedara nadie sin pareja (Cuando esto último ocurre, decimos en Matemáticas que existe una “biyección”, en este caso entre el conjunto de chicos y el conjunto de chicas).
Pues bien, esto mismo hizo Cantor con los Naturales y los Pares.
Podemos utilizar este método llamado de Cantor para comparar sus cardinales. Basta con olvidar por un momento eso de que “en el primer conjunto hay elementos que en el segundo no hay…”. Establezcamos una relación de uno a uno, para emparejar a todos de manera ordenada (según el orden natural).

Así, al 1 le asociamos el primer par (su doble) 2, al 2 el segundo par 4, al 3 el tercero 6, a cualquier natural “n” su par asociado 2n y “así sucesivamente” (Es de hacer notar, que con este “sucesivamente”, estamos haciendo uso de un proceso recursivo interminable, pues esta última expresión “así sucesivamente» encierra la misma idea de reiteración ilimitada, al infinito, es decir, estamos haciendo uso del infinito potencial).
De este modo no hay ninguno que se quede solo (sin pareja) en ninguno de los dos conjuntos, luego ambos tienen el mismo cardinal, es decir, poseen el mismo tamaño.
De igual modo podemos hacer con los números impares:

O con los cuadrados perfectos (Paradoja de Galileo):

O con los números triangulares:


Hasta aquí todo bien. Hemos visto que todos estos conjuntos infinitos, por paradójico que resulte, tienen el mismo tamaño.
Es momento de ordenar ideas y presentarlas con algo de más rigor:
“Dos conjuntos A y B son equivalentes si es posible ponerlos, por una cierta ley, en una relación mutua tal que a cada elemento de uno de ellos corresponde un elemento, y sólo uno, del otro. (Georg Cantor)”.
Conjuntos Equipotentes
Se dice que los conjuntos A y B tienen igual potencia, que son equipotentes o que son conjuntos coordinables, si existe una biyección (relación uno a uno) entre ellos, lo que se expresa:
Así, los conjuntos vistos anteriormente, Naturales, pares, impares, triangulares, primos,… son equipotentes entre sí.
Cardinal
Dado un conjunto A, a él y a cualquiera de los conjuntos equipotentes con él se le asignará un objeto matemático (“Tamaño”) llamado cardinal o potencia de A, y que escribiremos:
Dos conjuntos son equipotentes si y sólo si tienen el mismo cardinal (la misma potencia), esto es:
Conjuntos Infinitos Numerables
Son todos aquellos equipotentes a N, es decir: cualquier conjunto infinito que pueda ponerse en biyección con el conjunto de los naturales, se dice Numerable.
Pues bien, según hemos visto, el cardinal de los naturales, los pares, los impares, los primos, los cuadrados, etc. es el mismo y por tanto numerables. A dicho cardinal Cantor lo representó con el símbolo aleph sub cero. Así pues, aleph sub cero representa el cardinal de los conjuntos infinitos numerables (aquellos que pueden ponerse en aplicación biyectiva con los números naturales) y es, como veremos, el primero del sistema que llamó Cantor de los números transfinitos.
Así, hemos descubierto un increíble y, matemáticamente hablando, un maravilloso hallazgo: Hemos encontrado partes propias (el conjunto de pares es distinto de los naturales y está incluido en él; decimos en matemáticas que es una parte propia de N) de un todo, que poseen el mismo “tamaño” que el todo por paradójico que resulte. Nuestro primer infinito:

Pero esto no es más que el comienzo, subamos un peldaño más en esta escalera del infinito.
Cantor siguió haciéndose preguntas algo más amplias: ¿Son todos los infinitos iguales?, es decir, ¿todos los conjuntos infinitos son numerables?
Hasta ahora hemos comparado tamaños entre N y algunas de sus partes, ¿qué ocurrirá si comparamos N con otros conjuntos en los que está contenido?
De otro modo ¿qué sucede con los números enteros (es decir, los naturales positivos junto con los negativos y el cero, o con los racionales (enteros y fraccionarios), o con el todopoderoso R de los números reales? que son conjuntos que contienen a N o, por decirlo de algún modo, “más amplios” que N. ¿Son estos conjuntos numerables? O, lo que es lo mismo, ¿pueden ponerse en biyección con N?, ¿poseen por cardinal también a Aleph sub cero?.
La respuesta como veremos enseguida es variada.
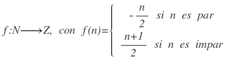
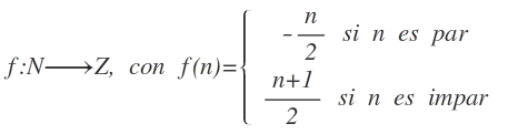
Comencemos por comparar el infinito del conjunto Z (del griego Zhalem) de los números enteros, con nuestro Aleph sub cero de los Naturales.

Si confiáramos de nuevo en la intuición, al contener Z a N, podríamos en principio pensar que Z posee un cardinal mayor que el de N; pues de nuevo Cantor nos prueba que no, es exactamente igual.
Para probarlo y según lo dicho anteriormente, bastaría encontrar una biyección que pusiera en relación a N con Z para poder asegurar que Z es otro conjunto infinito numerable, es decir con el mismo cardinal que N: aleph sub cero.
Pues aquí va una tal biyección que nos resuelve la situación:

Donde:
Podemos así asegurar que N y Z son equipotentes, es decir, poseen el mismo cardinal, nuestro primer transfinito aleph sub cero.
Pero Cantor nos sube un peldaño más en esta imparable escalera que nos sube al infinito, preguntándose:
¿Qué ocurrirá con Q (Racionales: Enteros mas fraccionarios)?, ¿será también Q un conjunto infinito numerable?, es decir, ¿del mismo tamaño que N?.
Está claro que el conjunto de los números racionales es, al menos, tan grande como el de los naturales, ya que cualquier número natural se puede escribir como fracción de denominador uno.
Ya hemos comprobado que no debemos llevarnos de la intuición ni dar respuestas precipitadas pues acabamos de ver como hay tantos naturales como pares, o tantos como primos, o como cuadrados, enteros, etc. a pesar de que no todos los naturales son pares, primos o cuadrados… ni todos los enteros son naturales.
Densidad en Q.
“Entre dos números racionales cualesquiera (por muy próximos entre sí que se encuentren en la recta real) existen una cantidad infinita de números racionales”.
Esta propiedad (arquimediana) de los racionales en matemáticas la llamamos densidad, podemos decir que Q es denso en el conjunto de los reales que lo contiene.
No es difícil imaginar la densidad, basta considerar dos números racionales como extremos de un segmento. El punto medio de ese segmento será también racional, y genera dos segmentos que, a su vez, se pueden subdividir infinitamente (de nuevo el infinito potencial).
Pero vayamos a la cuestión, nos preguntábamos sobre el tamaño de Q, su cardinalidad, de si es o no un conjunto infinito numerable.
Para ello Cantor de nuevo se plantea si es posible ordenar todas las fracciones según el orden natural, y aquí vuelve a brillar su genio y nos presenta la siguiente ordenación de Q.
Comenzamos colocando todos los números racionales en una tabla, y aprovechando que una fracción no es más que una pareja de enteros que ocupan su numerador y su denominador respectivamente, los dispone del siguiente modo: cada fila tiene un mismo número natural en el numerador, y cada columna un mismo número en el denominador:

O en forma de biyección:

De nuevo quedamos fascinados ante el resultado: El conjunto Q de los números racionales ES INFINITO NUMERABLE, es decir, posee por cardinal nuestro aleph sub cero, el mismo cardinal que N y Z. Así, N, Z y Q posee la misma potencia.
Pero sigamos subiendo nuestra escalera infinita, el incansable Cantor se enfrenta ahora al “Continuum”, el conjunto de los números reales, el que contiene a todos los anteriores y algunos más: los “famosos” números Irracionales, que tanto dieron que hacer a los Pitagóricos.
¿Cuál será el cardinal de R?, es decir, ¿Cuál será la Potencia del «continuum»?
La respuesta la daremos en nuestra siguiente entrada. (Haz click para leer la tercera parte).









3 comentarios en “Los números Transfinitos: Hablemos del infinito (Parte II)”